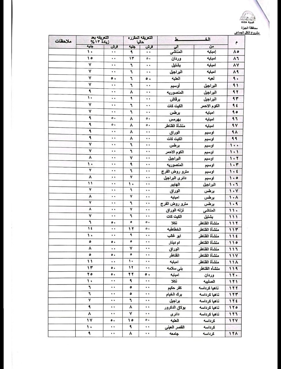
اعتمد المهندس عادل النجار محافظ الجيزة التعريفة الجديدة لسيارات السرفيس والنقل الجماعي الداخلية والخارجية والتي يتم تطبيقها اعتبارًا من اليوم الجمعة، وطبقًا للجداول المرفقة، وذلك في ضوء قرار لجنة التسعير التلقائي للمنتجات البترولية بوزارة البترول بتحريك أسعار المنتجات البترولية.
وأوضح المهندس عادل النجار أن اللجنة التي تم تشكيلها لتعديل تعريفة الركوب وضعت في اعتبارها مسافة كل خط سير وعدد الرحلات تحقيقًا للعدالة .
وأشار إلى أنه تم تنسيق تعريفات خطوط السير لسيارات السرفيس الخارجية (الأقاليم) مع المحافظات المجاورة وغيرها من المحافظات التي ترتبط مع محافظة الجيزة بخطوط سير لسيارات الأقاليم لضمان توحيد التعريفة.
وكلف محافظ الجيزة جهاز السرفيس والأحياء والمراكز بطباعة ملصقات وبانرات بالتعريفة الجديدة والالتزام بنشرها بالمواقف وتعليقها في مكان واضح للمواطنين والسائقين.
وشدد على ضرورة التأكد من وضع الملصق الخاص بسيارات السرفيس والنقل الجماعي والمتضمن خط السير والأجرة المقررة وفقًا للزيادات الجديدة لعدم قيام قائدى السيارات بزيادة تعريفة الركوب بصورة منفردة أو تقسيم خطوط السير.
ووجه محافظ الجيزة الأجهزة المعنية من جهاز السرفيس وإدارة المرور ورؤساء الأحياء والمراكز ومسؤولي التموين، بالرقابة والمتابعة على مدار الساعة للتأكد من الإلتزام بالتعريفة الجديدة وعدم استغلال المواطنين، مشددًا على الحسم في تطبيق التسعيرة الجديدة التي تم اعتمادها، وتوقيع غرامات فورية ورادعة وإتخاذ كافة الإجراءات القانونية ضد المخالفين.
وأكد محافظ الجيزة أن غرفة العمليات الرئيسة بالمحافظة منعقدة على مدار الساعة بحضور جميع الجهات المعنية معلنًا أرقام الطوارئ التالية لاستقبال أي بلاغات تخص التسعيرة الجديدة على الخطوط التالية 33465048 / 33465046 بالإضافة إلى خدمة الواتساب على الرقم 01016050453 .

محافظ الجيزة يعتمد التعريفة الجديدة لسيارات السرفيس و النقل الجماعي الداخلية والخارجية

محافظ الجيزة يعتمد التعريفة الجديدة لسيارات السرفيس و النقل الجماعي الداخلية والخارجية

محافظ الجيزة يعتمد التعريفة الجديدة لسيارات السرفيس و النقل الجماعي الداخلية والخارجية

محافظ الجيزة يعتمد التعريفة الجديدة لسيارات السرفيس و النقل الجماعي الداخلية والخارجية

محافظ الجيزة يعتمد التعريفة الجديدة لسيارات السرفيس و النقل الجماعي الداخلية والخارجية

محافظ الجيزة يعتمد التعريفة الجديدة لسيارات السرفيس و النقل الجماعي الداخلية والخارجية

محافظ الجيزة يعتمد التعريفة الجديدة لسيارات السرفيس و النقل الجماعي الداخلية والخارجية

محافظ الجيزة يعتمد التعريفة الجديدة لسيارات السرفيس و النقل الجماعي الداخلية والخارجية

محافظ الجيزة يعتمد التعريفة الجديدة لسيارات السرفيس و النقل الجماعي الداخلية والخارجية

محافظ الجيزة يعتمد التعريفة الجديدة لسيارات السرفيس و النقل الجماعي الداخلية والخارجية

محافظ الجيزة يعتمد التعريفة الجديدة لسيارات السرفيس و النقل الجماعي الداخلية والخارجية

محافظ الجيزة يعتمد التعريفة الجديدة لسيارات السرفيس و النقل الجماعي الداخلية والخارجية

محافظ الجيزة يعتمد التعريفة الجديدة لسيارات السرفيس و النقل الجماعي الداخلية والخارجية
ملحوظة: مضمون هذا الخبر تم كتابته بواسطة اليوم السابع ولا يعبر عن وجهة نظر مصر اليوم وانما تم نقله بمحتواه كما هو من اليوم السابع ونحن غير مسئولين عن محتوى الخبر والعهدة علي المصدر السابق ذكرة.
انتبه: مضمون هذا الخبر تم كتابته بواسطة مصر اليوم ولا يعبر عن وجهة نظر مصر اليوم وانما تم نقله بمحتواه كما هو من مصر اليوم ونحن غير مسئولين عن محتوى الخبر والعهدة علي المصدر السابق ذكرة.